Официальное опубликование правовых актов
ОФИЦИАЛЬНОЕ ОПУБЛИКОВАНИЕ
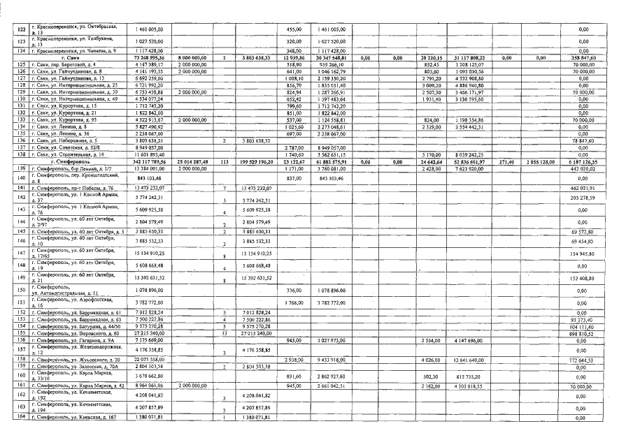
Постановление Совета министров Республики Крым от 21.11.2018 № 575 "О внесении изменений в постановление Совета министров Республики Крым от 21 декабря 2015 года № 797"
Номер опубликования: 9100201811270003
Дата опубликования: 27.11.2018
Страница №23 из 37:
Увеличить