Официальное опубликование правовых актов
ОФИЦИАЛЬНОЕ ОПУБЛИКОВАНИЕ
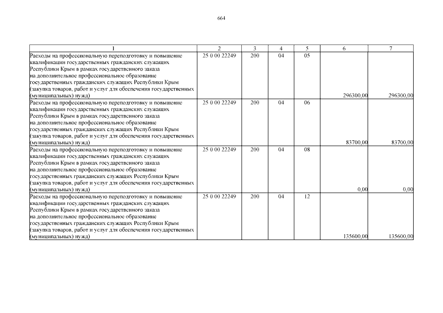
Закон Республики Крым от 28.06.2018 № 507-ЗРК/2018
"О внесении изменений в Закон Республики Крым "О бюджете Республики Крым на 2018 год и на плановый период 2019 и 2020 годов"
Номер опубликования: 9100201807060024
Дата опубликования: 06.07.2018
Страница №664 из 862:
Увеличить