Официальное опубликование правовых актов
ОФИЦИАЛЬНОЕ ОПУБЛИКОВАНИЕ
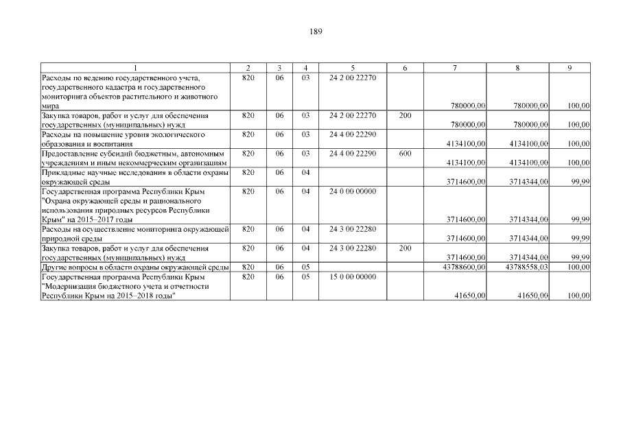
Закон Республики Крым от 04.07.2018 № 513-ЗРК/2018
"Об исполнении бюджета Республики Крым за 2017 год"
Номер опубликования: 9100201807060012
Дата опубликования: 06.07.2018
Страница №189 из 420:
Увеличить