Официальное опубликование правовых актов
ОФИЦИАЛЬНОЕ ОПУБЛИКОВАНИЕ
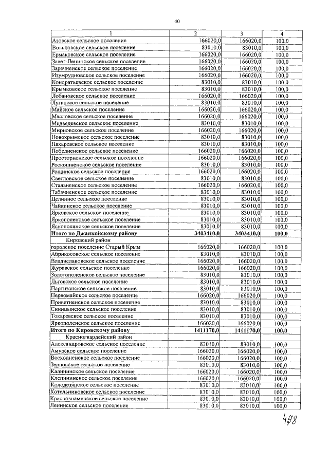
Закон Республики Крым от 28.06.2017 № 392-ЗРК/2017
"Об исполнении бюджета Республики Крым за 2016 год"
Номер опубликования: 9100201707050001
Дата опубликования: 05.07.2017
Страница №498 из 509:
Увеличить