Официальное опубликование правовых актов
ОФИЦИАЛЬНОЕ ОПУБЛИКОВАНИЕ
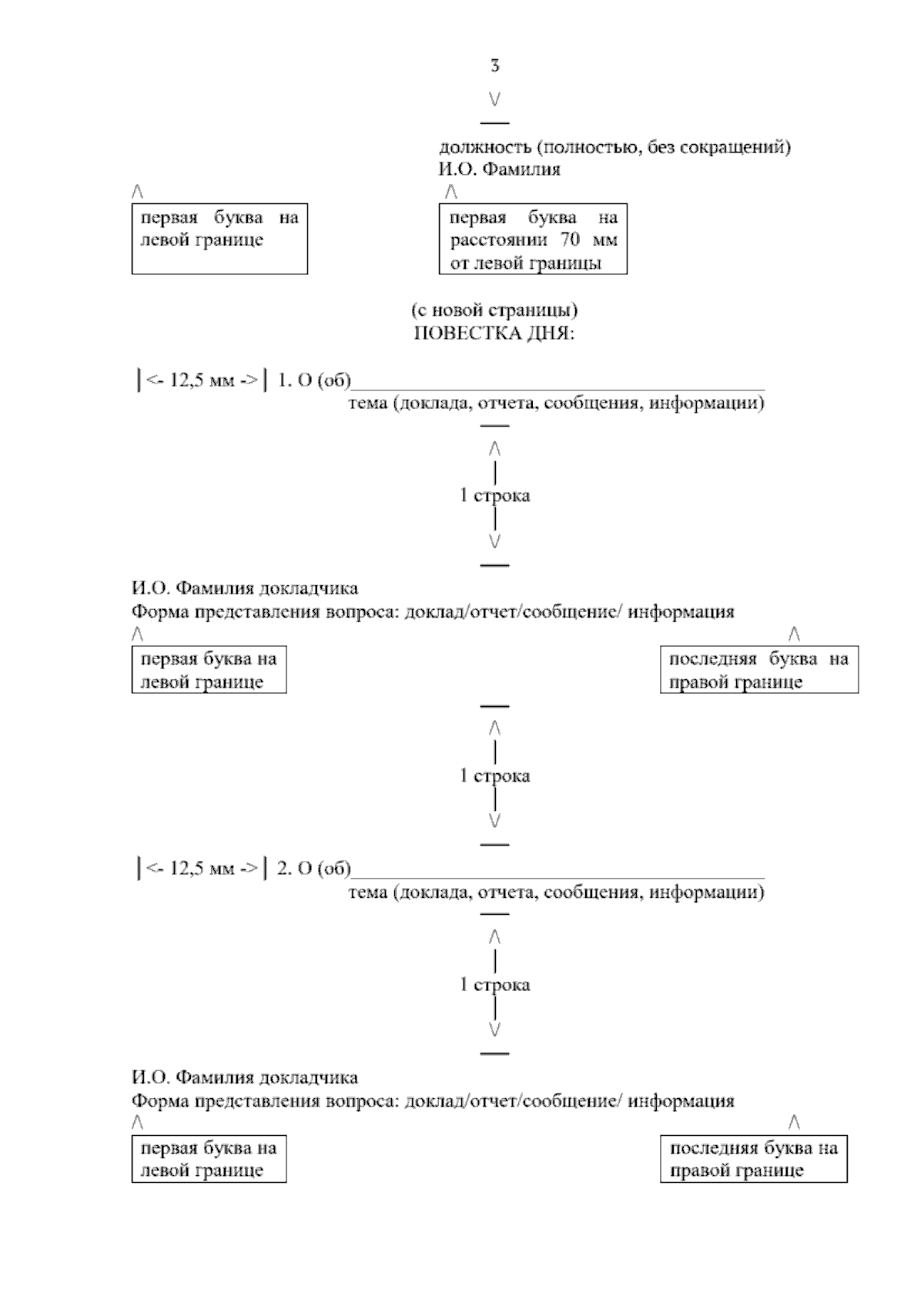
Постановление Избирательной комиссии Ямало-Ненецкого автономного округа от 30.03.2026 № 147/1169-7
"Об Инструкции по делопроизводству в Избирательной комиссии Ямало-Ненецкого автономного округа"
Номер опубликования: 8901202604030001
Дата опубликования: 03.04.2026
Страница №141 из 162:
Увеличить