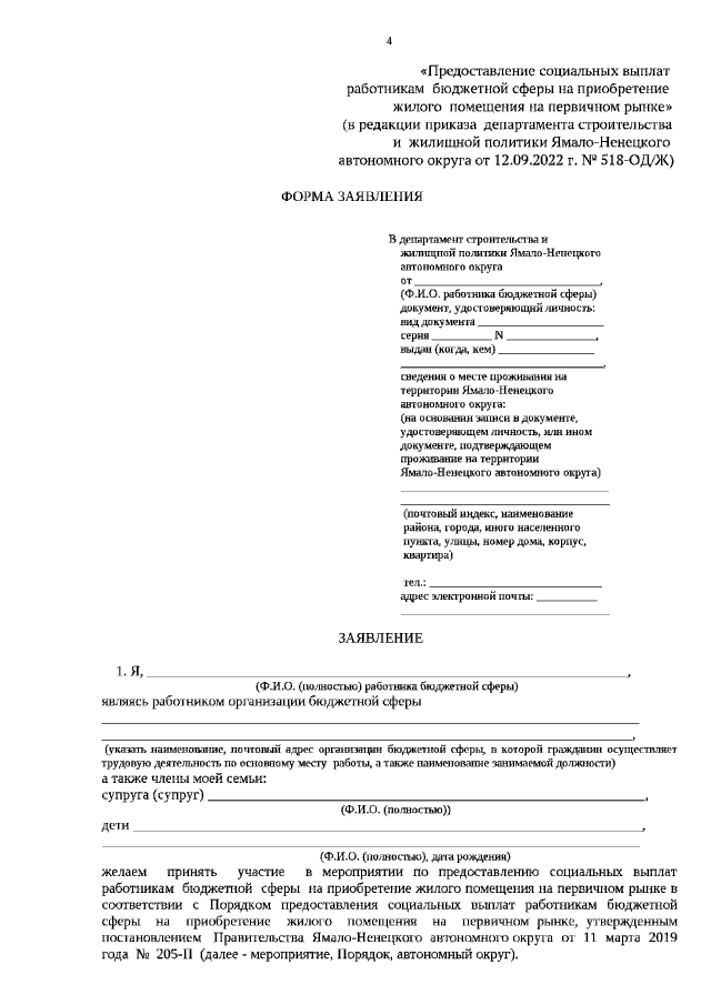
Приказ Департамента строительства и жилищной политики Ямало-Ненецкого автономного округа от 12.09.2022 № 518-ОД/Ж
"О внесении изменений в Административный регламент департамента строительства и жилищной политики Ямало-Ненецкого автономного округа по предоставлению государственной услуги "Предоставление социальных выплат работникам бюджетной сферы на приобретение жилого помещения на первичном рынке"
(Зарегистрирован 14.09.2022 № 350)
"О внесении изменений в Административный регламент департамента строительства и жилищной политики Ямало-Ненецкого автономного округа по предоставлению государственной услуги "Предоставление социальных выплат работникам бюджетной сферы на приобретение жилого помещения на первичном рынке"
(Зарегистрирован 14.09.2022 № 350)
Номер опубликования: 8901202209140001
Дата опубликования:
14.09.2022
