Официальное опубликование правовых актов
ОФИЦИАЛЬНОЕ ОПУБЛИКОВАНИЕ
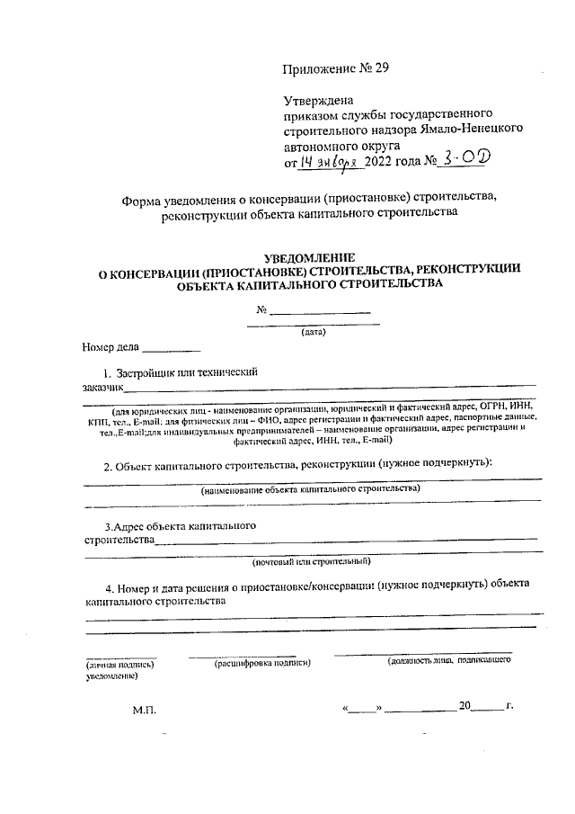
Приказ Службы государственного строительного надзора Ямало-Ненецкого автономного округа от 14.01.2022 № 3-ОД
"Об утверждении форм документов, используемых службой государственного строительного надзора Ямало-Ненецкого автономного округа при осуществлении регионального государственного строительного надзора"
(Зарегистрирован 18.01.2022 № 15)
Номер опубликования: 8901202201180001
Дата опубликования: 18.01.2022
Страница №75 из 101:
Увеличить