Официальное опубликование правовых актов
ОФИЦИАЛЬНОЕ ОПУБЛИКОВАНИЕ
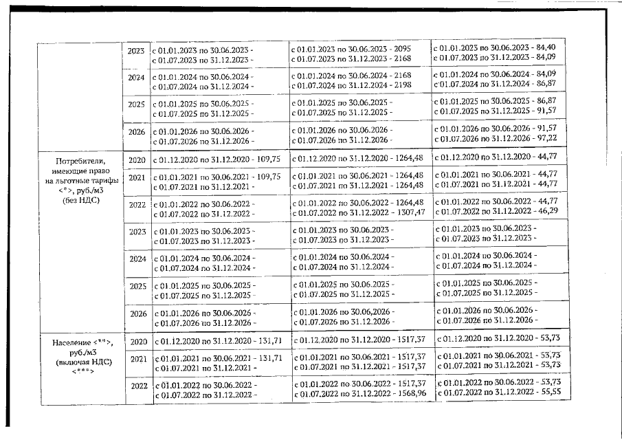
Приказ Департамента тарифной политики, энергетики и жилищно-коммунального комплекса Ямало-Ненецкого автономного округа от 13.12.2021 № 358-т
"О внесении изменений в приложения №№ 1,2 к приказу департамента тарифной политики, энергетики и жилищно-коммунального комплекса Ямало-Ненецкого автономного округа от 29 ноября 2020 года № 148-т"
(Зарегистрирован 15.12.2021 № 599)
Номер опубликования: 8901202112150068
Дата опубликования: 15.12.2021
Страница №5 из 6:
Увеличить