Официальное опубликование правовых актов
ОФИЦИАЛЬНОЕ ОПУБЛИКОВАНИЕ
Приказ Департамента социальной защиты населения Ямало-Ненецкого автономного округа от 21.09.2021 № 181-ОД
"О внесении изменений в некоторые Административные регламенты департамента социальной защиты населения Ямало-Ненецкого автономного округа по предоставлению государственных услуг"
(Зарегистрирован 23.09.2021 № 403)
Номер опубликования: 8901202109230002
Дата опубликования: 23.09.2021
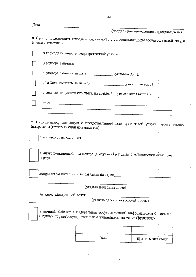
Страница №34 из 47:
Увеличить