Официальное опубликование правовых актов
ОФИЦИАЛЬНОЕ ОПУБЛИКОВАНИЕ
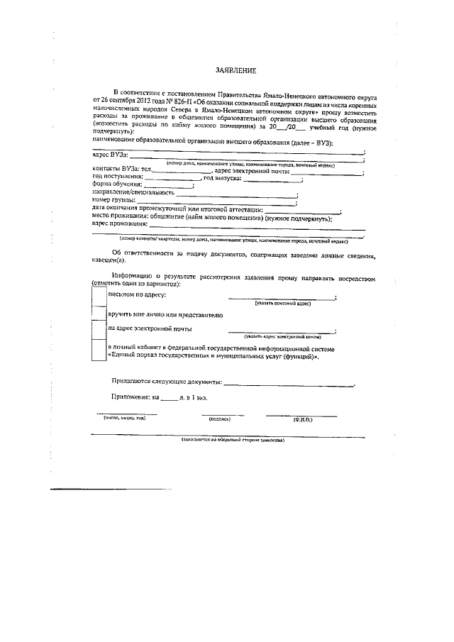
Приказ Департамента по делам коренных малочисленных народов Севера Ямало-Ненецкого автономного округа от 21.07.2021 № 104-ОД
"О внесении изменений в некоторые Административные регламенты департамента по делам коренных малочисленных народов Севера Ямало-Ненецкого автономного округа по предоставлению государственных услуг"
(Зарегистрирован 22.07.2021 № 305)
Номер опубликования: 8901202107230003
Дата опубликования: 23.07.2021
Страница №28 из 29:
Увеличить