Официальное опубликование правовых актов
ОФИЦИАЛЬНОЕ ОПУБЛИКОВАНИЕ
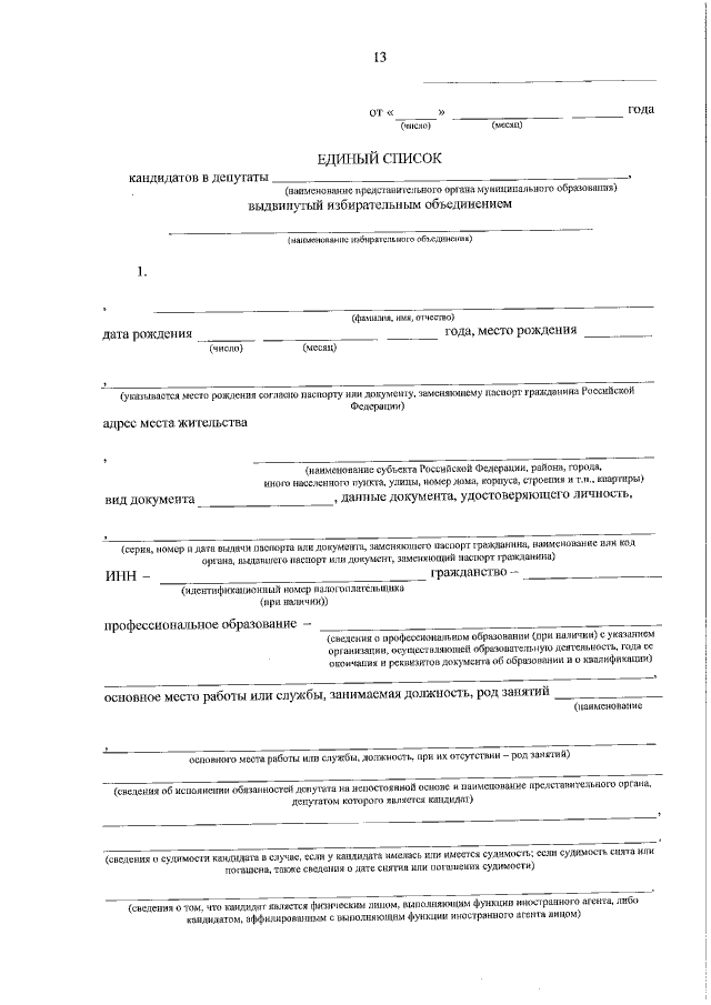
Постановление Избирательной комиссии Ямало-Ненецкого автономного округа от 16.06.2021 № 3/29-7
"О внесении изменений в Примерный перечень и формы документов, представляемых избирательными объединениями и кандидатами в избирательные комиссии при проведении муниципальных выборов в Ямало-Ненецком автономном округе"
Номер опубликования: 8901202106180005
Дата опубликования: 18.06.2021
Страница №15 из 42:
Увеличить