Официальное опубликование правовых актов
ОФИЦИАЛЬНОЕ ОПУБЛИКОВАНИЕ
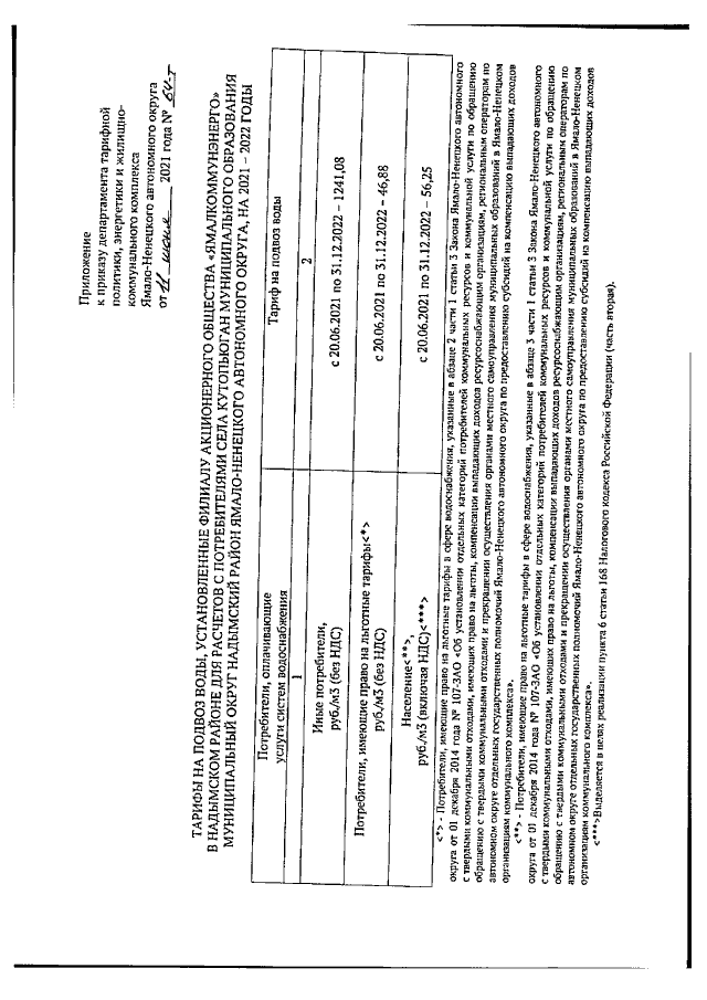
Приказ Департамента тарифной политики, энергетики и жилищно-коммунального комплекса Ямало-Ненецкого автономного округа от 11.06.2021 № 64-т
"Об установлении филиалу акционерного общества "Ямалкоммунэнерго" в Надымском районе тарифов на подвоз воды для расчетов с потребителями села Кутопьюган муниципального образования муниципальный округ Надымский район Ямало-Ненецкого автономного округа, на 2021 – 2022 годы"
(Зарегистрирован 16.06.2021 № 248)
Номер опубликования: 8901202106160002
Дата опубликования: 16.06.2021
Страница №3 из 3:
Увеличить