Официальное опубликование правовых актов
ОФИЦИАЛЬНОЕ ОПУБЛИКОВАНИЕ
Приказ Департамента по делам коренных малочисленных народов Севера Ямало-Ненецкого автономного округа от 09.04.2021 № 58-ОД
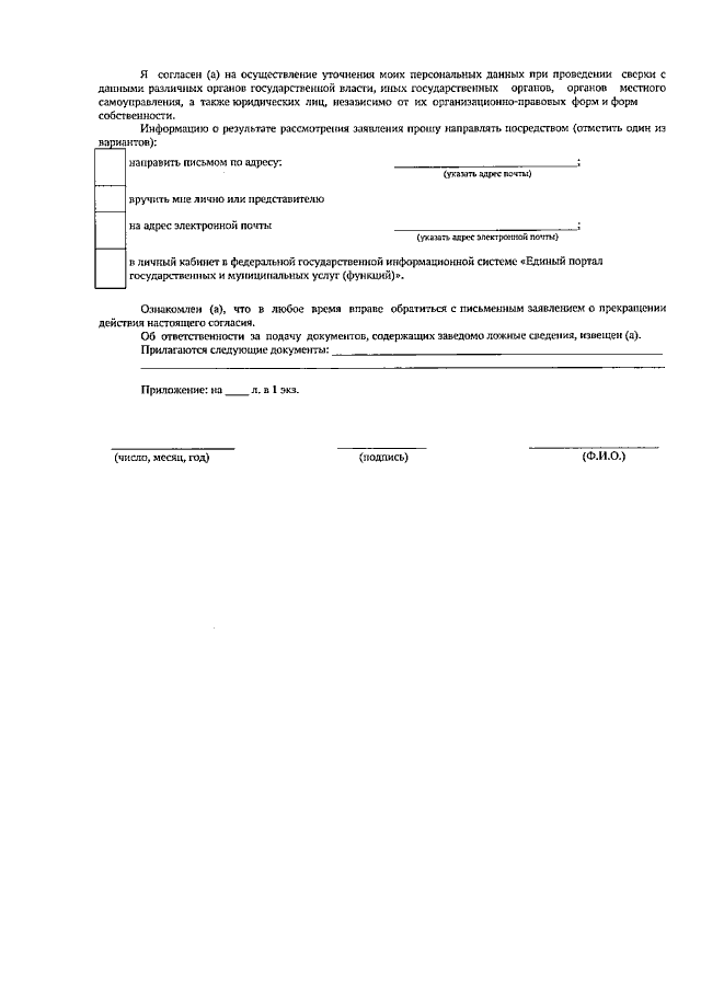
"Об утверждении Административного регламента департамента по делам коренных малочисленных народов Севера Ямало-Ненецкого автономного округа по предоставлению государственной услуги "Оказание социальной поддержки лицам из числа коренных малочисленных народов Севера в Ямало-Ненецком автономном округе, в том числе:- возмещение расходов на получение первого высшего образования (по заочной форме обучения) лицам из числа коренных малочисленных народов Севера в Ямало-Ненецком автономном округе;- выплата дополнительных социальных стипендий студентам из числа малоимущих семей коренных малочисленных народов Севера в Ямало-Ненецком автономном округе, обучающимся по имеющим государственную аккредитацию образовательным программам в образовательных организациях высшего образования;- возмещение расходов на оплату проживания в общежитиях (возмещение расходов по найму жилого помещения) студентам из числа малоимущих семей коренных малочисленных народов Севера в Ямало-Ненецком автономном округе, обучающимся по имеющим государственную аккредитацию образовательным программам в образовательных организациях высшего образования"
(Зарегистрирован 12.04.2021 № 155)
Номер опубликования: 8901202104130002
Дата опубликования: 13.04.2021
Страница №41 из 55:
Увеличить