Официальное опубликование правовых актов
ОФИЦИАЛЬНОЕ ОПУБЛИКОВАНИЕ
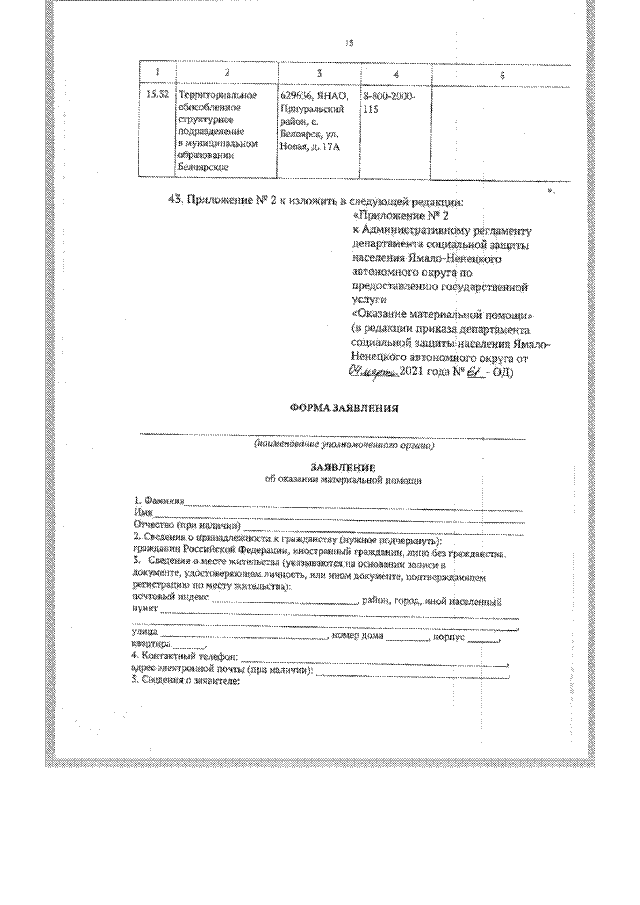
Приказ Департамента социальной защиты населения Ямало-Ненецкого автономного округа от 04.03.2021 № 61-ОД
"О внесении изменений в Административный регламент департамента социальной защиты населения Ямало-Ненецкого автономного округа по предоставлению государственной услуги "Оказание материальной помощи"
(Зарегистрирован 09.03.2021 № 81)
Номер опубликования: 8901202103120010
Дата опубликования: 12.03.2021
Страница №16 из 26:
Увеличить