Официальное опубликование правовых актов
ОФИЦИАЛЬНОЕ ОПУБЛИКОВАНИЕ
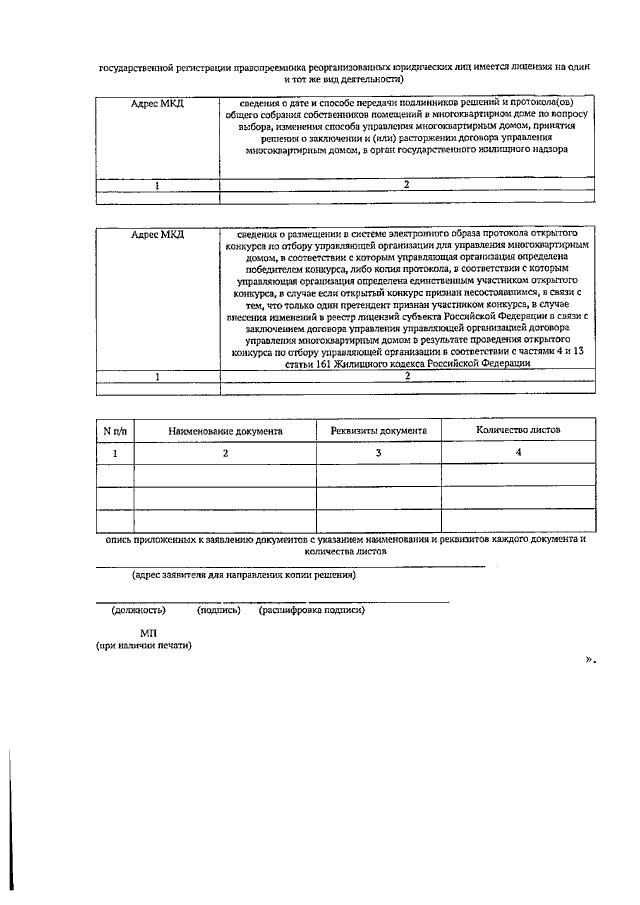
Приказ Департамента государственного жилищного надзора Ямало-Ненецкого автономного округа от 02.03.2021 № 23-од
"О внесении изменений в приказ департамента государственного жилищного надзора Ямало-Ненецкого автономного округа от 23 января 2019 года № 12-ОД"
(Зарегистрирован 04.03.2021 № 75)
Номер опубликования: 8901202103040005
Дата опубликования: 04.03.2021
Страница №8 из 8:
Увеличить