Официальное опубликование правовых актов
ОФИЦИАЛЬНОЕ ОПУБЛИКОВАНИЕ
Приказ Службы государственной охраны объектов культурного наследия Ямало-Ненецкого автономного округа от 24.02.2021 № 24
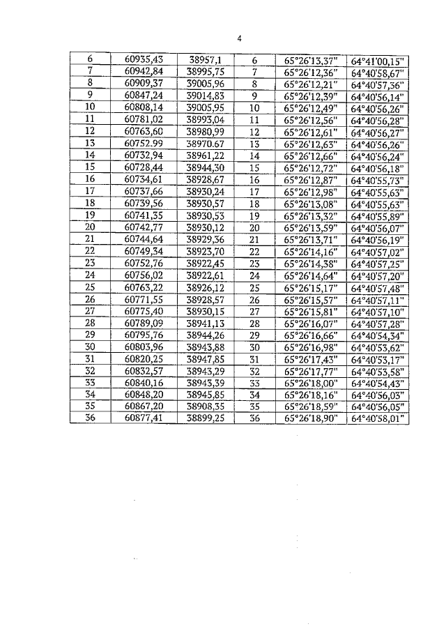
"Об утверждении границ территории объекта культурного наследия регионального значения достопримечательное место "Комплекс построек срубного типа в дер. Ханты-Мужи", требований к осуществлению деятельности и градостроительным регламентам в границах территории достопримечательного места и признании утратившим силу приказа департамента культуры Ямало-Ненецкого автономного округа от 29 августа 2013 года № 225"
(Зарегистрирован 26.02.2021 № 65)
Номер опубликования: 8901202102260002
Дата опубликования: 26.02.2021
Страница №6 из 12:
Увеличить