Официальное опубликование правовых актов
ОФИЦИАЛЬНОЕ ОПУБЛИКОВАНИЕ
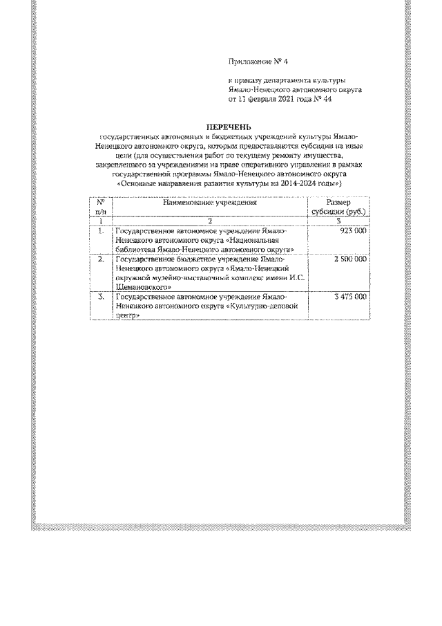
Приказ Департамента культуры Ямало-Ненецкого автономного округа от 11.02.2021 № 44
"О предоставлении государственным автономным и бюджетным учреждениям культуры Ямало-Ненецкого автономного округасубсидий на иные цели в 2021 году"
(Зарегистрирован 12.02.2021 № 43)
Номер опубликования: 8901202102150004
Дата опубликования: 15.02.2021
Страница №6 из 6:
Увеличить