Официальное опубликование правовых актов
ОФИЦИАЛЬНОЕ ОПУБЛИКОВАНИЕ
Постановление Избирательной комиссии Ямало-Ненецкого автономного округа от 18.03.2020 № 117/1162-6
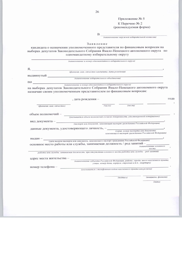
"О перечне и формах документов, в том числе в машиночитаемом виде, представляемых избирательными объединениями и кандидатами в избирательные комиссии при проведении выборов депутатов Законодательного Собрания Ямало-Ненецкого автономного округа по одномандатным избирательным округам"
Номер опубликования: 8901202003240003
Дата опубликования: 24.03.2020
Страница №52 из 82:
Увеличить