Официальное опубликование правовых актов
ОФИЦИАЛЬНОЕ ОПУБЛИКОВАНИЕ
Приказ Департамента экономики Ямало-Ненецкого автономного округа от 11.12.2018 № 475-о
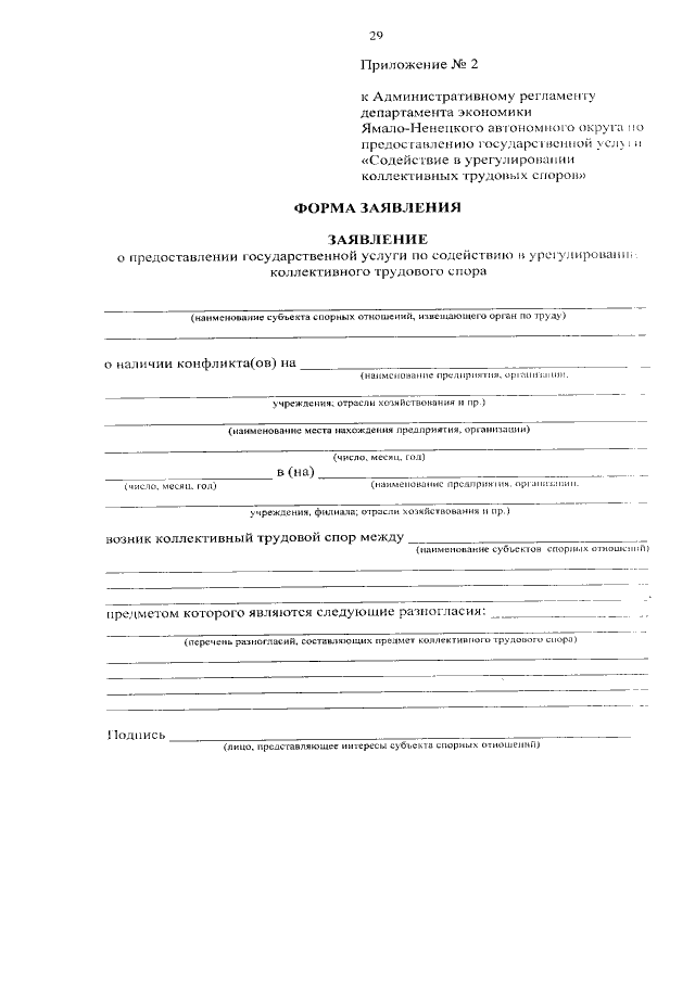
"Об утверждении Административного регламента департамента экономики Ямало-Ненецкого автономного округа по предоставлению государственной услуги "Содействие в урегулировании коллективных трудовых споров"
(Зарегистрирован 13.12.2018 № 519)
Номер опубликования: 8901201812130006
Дата опубликования: 13.12.2018
Страница №30 из 36:
Увеличить