Официальное опубликование правовых актов
ОФИЦИАЛЬНОЕ ОПУБЛИКОВАНИЕ
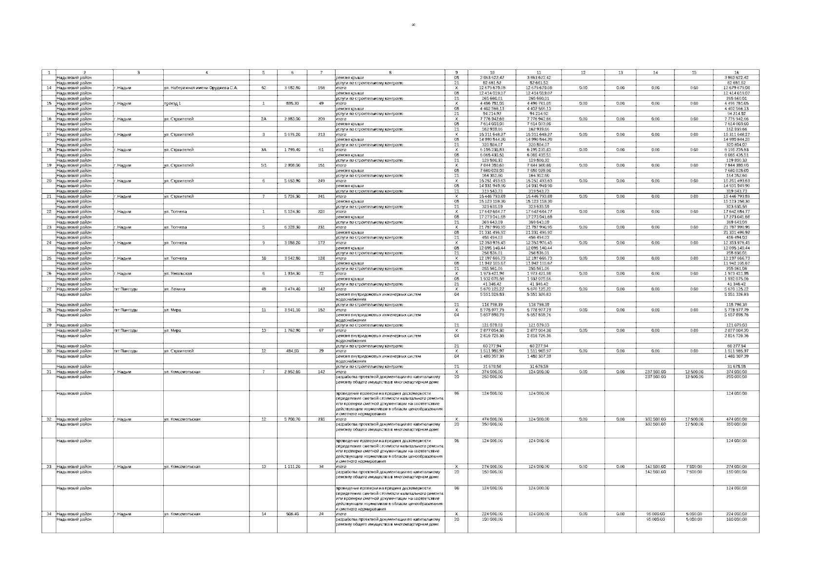
Постановление Правительства Ямало-Ненецкого автономного округа от 19.08.2025 № 457-П
"Об утверждении регионального краткосрочного плана реализации региональной программы капитального ремонта общего имущества в многоквартирных домах, расположенных на территории Ямало-Ненецкого автономного округа, на 2026 – 2028 годы"
Номер опубликования: 8900202508220003
Дата опубликования: 22.08.2025
Страница №61 из 68:
Увеличить