Официальное опубликование правовых актов
ОФИЦИАЛЬНОЕ ОПУБЛИКОВАНИЕ
Постановление Губернатора Ямало-Ненецкого автономного округа от 15.07.2025 № 36-ПГ
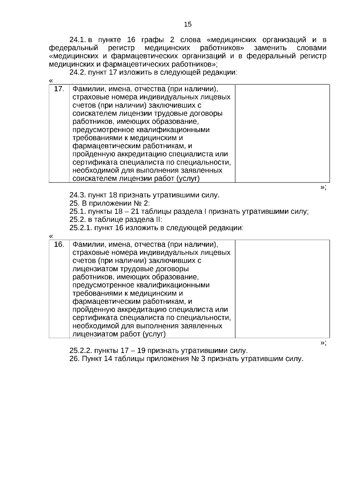
"О внесении изменений в Административный регламент департамента здравоохранения Ямало-Ненецкого автономного округа по предоставлению государственной услуги "Лицензирование (в части предоставления лицензий, прекращения действия лицензий, внесения изменений в реестр лицензий) медицинской деятельности медицинских организаций (за исключением медицинских организаций, подведомственных федеральным органам исполнительной власти)"
Номер опубликования: 8900202507170008
Дата опубликования: 17.07.2025
Страница №16 из 16:
Увеличить