Официальное опубликование правовых актов
ОФИЦИАЛЬНОЕ ОПУБЛИКОВАНИЕ
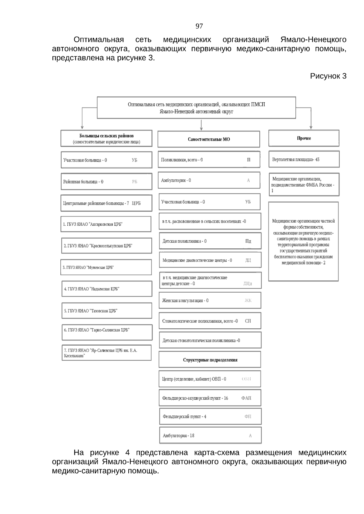
Постановление Правительства Ямало-Ненецкого автономного округа от 14.12.2023 № 937-П
"Об утверждении региональной программы "Модернизация первичного звена здравоохранения"
Номер опубликования: 8900202312150001
Дата опубликования: 15.12.2023
Страница №98 из 646:
Увеличить