Официальное опубликование правовых актов
ОФИЦИАЛЬНОЕ ОПУБЛИКОВАНИЕ
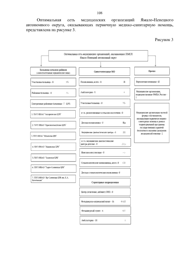
Постановление Правительства Ямало-Ненецкого автономного округа от 01.06.2023 № 463-П
"Об утверждении региональной программы "Модернизация первичного звена здравоохранения"
Номер опубликования: 8900202306020007
Дата опубликования: 02.06.2023
Страница №109 из 678:
Увеличить