Официальное опубликование правовых актов
ОФИЦИАЛЬНОЕ ОПУБЛИКОВАНИЕ
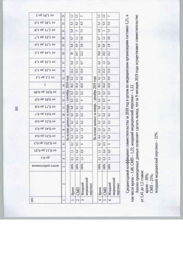
Постановление Правительства Ямало-Ненецкого автономного округа от 15.11.2022 № 1089-П
"Об утверждении региональной программы "Модернизация первичного звена здравоохранения"
Номер опубликования: 8900202211180013
Дата опубликования: 18.11.2022
Страница №586 из 609:
Увеличить