Официальное опубликование правовых актов
ОФИЦИАЛЬНОЕ ОПУБЛИКОВАНИЕ
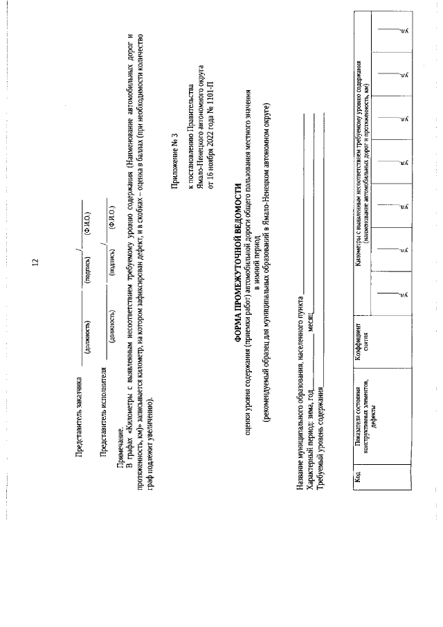
Постановление Правительства Ямало-Ненецкого автономного округа от 16.11.2022 № 1101-П
"О внесении изменений в постановление Правительства Ямало-Ненецкого автономного округа от 14 августа 2014 года № 642-П"
Номер опубликования: 8900202211180001
Дата опубликования: 18.11.2022
Страница №13 из 19:
Увеличить