Официальное опубликование правовых актов
ОФИЦИАЛЬНОЕ ОПУБЛИКОВАНИЕ
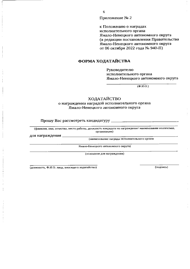
Постановление Правительства Ямало-Ненецкого автономного округа от 06.10.2022 № 940-П
"О внесении изменений в постановление Правительства Ямало-Ненецкого автономного округа от 26 августа 2021 года № 765-П"
Номер опубликования: 8900202210070006
Дата опубликования: 07.10.2022
Страница №7 из 17:
Увеличить