Официальное опубликование правовых актов
ОФИЦИАЛЬНОЕ ОПУБЛИКОВАНИЕ
Постановление Правительства Ямало-Ненецкого автономного округа от 26.04.2022 № 398-П
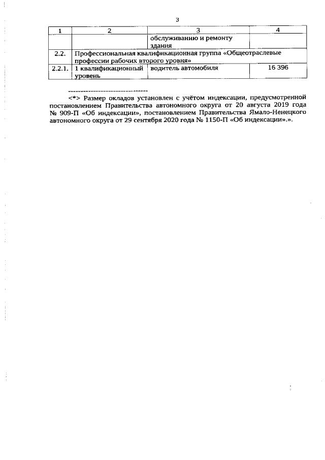
"О внесении изменений в Примерное положение об оплате труда работников государственного казённого учреждения, обеспечивающего функционирование и развитие дорожного хозяйства Ямало-Ненецкого автономного округа"
Номер опубликования: 8900202204290009
Дата опубликования: 29.04.2022
Страница №4 из 4:
Увеличить