Официальное опубликование правовых актов
ОФИЦИАЛЬНОЕ ОПУБЛИКОВАНИЕ
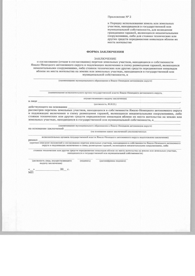
Постановление Правительства Ямало-Ненецкого автономного округа от 15.09.2021 № 826-П
"Об утверждении Порядка использования земель или земельных участков, находящихся в государственной или муниципальной собственности, для возведения гражданами гаражей, являющихся некапитальными сооружениями, либо для стоянки технических или других средств передвижения инвалидов вблизи их места жительства"
Номер опубликования: 8900202109210002
Дата опубликования: 21.09.2021
Страница №18 из 22:
Увеличить