Официальное опубликование правовых актов
ОФИЦИАЛЬНОЕ ОПУБЛИКОВАНИЕ
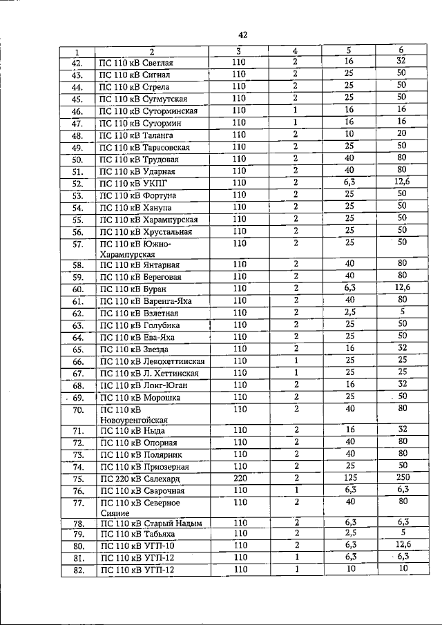
Постановление Губернатора Ямало-Ненецкого автономного округа от 28.04.2021 № 65-ПГ
"Об утверждении схемы и программы перспективного развития электроэнергетики Ямало-Ненецкого автономного округа на период 2022 – 2026 годов"
Номер опубликования: 8900202105050003
Дата опубликования: 05.05.2021
Страница №43 из 121:
Увеличить