Официальное опубликование правовых актов
ОФИЦИАЛЬНОЕ ОПУБЛИКОВАНИЕ
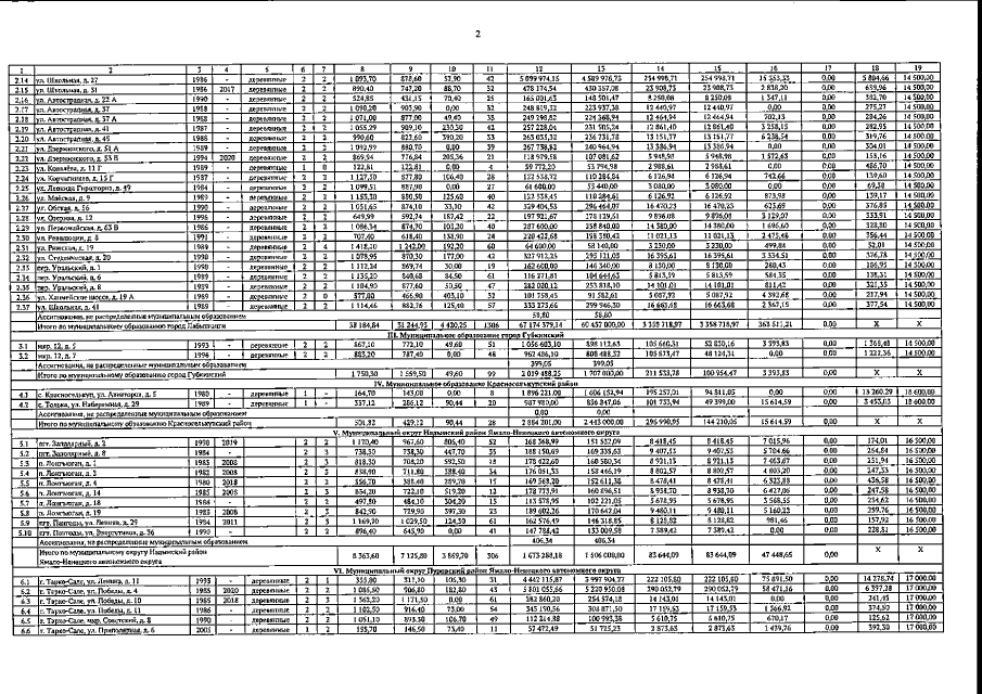
Постановление Правительства Ямало-Ненецкого автономного округа от 26.04.2021 № 324-П
"Об утверждении адресной программы капитального ремонта общего имущества в многоквартирных домах на 2021 год и перераспределении бюджетных ассигнований окружного бюджета"
Номер опубликования: 8900202104280011
Дата опубликования: 28.04.2021
Страница №4 из 9:
Увеличить