Официальное опубликование правовых актов
ОФИЦИАЛЬНОЕ ОПУБЛИКОВАНИЕ
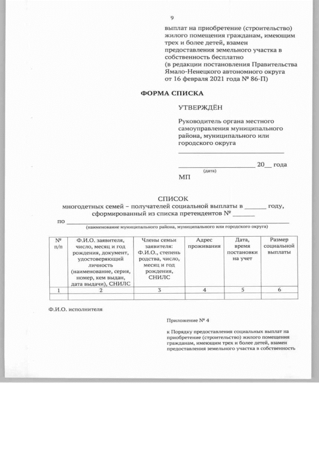
Постановление Правительства Ямало-Ненецкого автономного округа от 16.02.2021 № 86-П
"О внесении изменений в Порядок предоставления социальных выплат на приобретение (строительство) жилого помещения гражданам, имеющим трех и более детей, взамен предоставления земельного участка в собственность бесплатно"
Номер опубликования: 8900202102190005
Дата опубликования: 19.02.2021
Страница №10 из 14:
Увеличить