Официальное опубликование правовых актов
ОФИЦИАЛЬНОЕ ОПУБЛИКОВАНИЕ
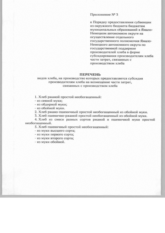
Постановление Правительства Ямало-Ненецкого автономного округа от 20.01.2021 № 23-П
"О субвенциях из окружного бюджета бюджетам муниципальных образований в Ямало-Ненецком автономном округе на осуществление отдельных государственных полномочий Ямало-Ненецкого автономного округа по государственной поддержке производителей хлеба в Ямало-Ненецком автономном округе, внесении изменений в постановление Правительства Ямало-Ненецкого автономного округа от 16 марта 2020 года № 278-П и приостановлении действия абзаца одиннадцатого пункта 4 приложения № 2, утвержденного постановлением Правительства Ямало-Ненецкого автономного округа от 16 марта 2020 года № 278-П"
Номер опубликования: 8900202101220010
Дата опубликования: 22.01.2021
Страница №12 из 32:
Увеличить