Официальное опубликование правовых актов
ОФИЦИАЛЬНОЕ ОПУБЛИКОВАНИЕ
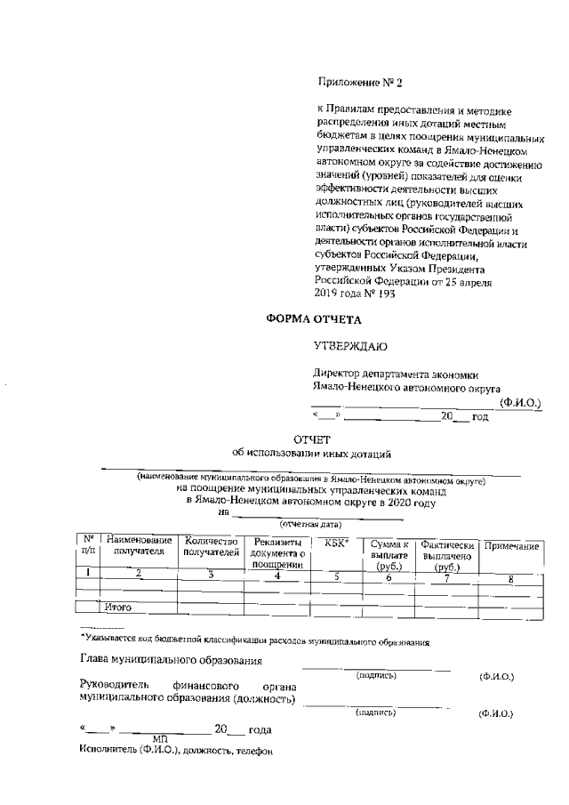
Постановление Правительства Ямало-Ненецкого автономного округа от 24.12.2020 № 1529-П
"О предоставлении иной дотации на поощрение муниципальных управленческих команд в Ямало-Ненецком автономном округе в 2020 году"
Номер опубликования: 8900202012250028
Дата опубликования: 25.12.2020
Страница №7 из 10:
Увеличить