Официальное опубликование правовых актов
ОФИЦИАЛЬНОЕ ОПУБЛИКОВАНИЕ
Постановление Правительства Ямало-Ненецкого автономного округа от 24.12.2020 № 1528-П
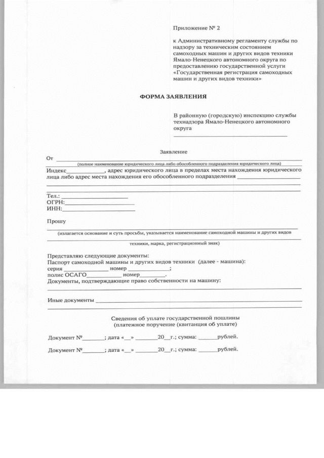
"Об утверждении Административного регламента службы по надзору за техническим состоянием самоходных машин и других видов техники Ямало-Ненецкого автономного округа по предоставлению государственной услуги "Государственная регистрация самоходных машин и других видов техники"
Номер опубликования: 8900202012250025
Дата опубликования: 25.12.2020
Страница №41 из 43:
Увеличить