Официальное опубликование правовых актов
ОФИЦИАЛЬНОЕ ОПУБЛИКОВАНИЕ
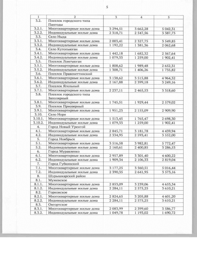
Постановление Правительства Ямало-Ненецкого автономного округа от 24.12.2020 № 1523-П
"О региональных стандартах оплаты жилого помещения и коммунальных услуг по Ямало-Ненецкому автономному округу"
Номер опубликования: 8900202012250013
Дата опубликования: 25.12.2020
Страница №7 из 15:
Увеличить