Официальное опубликование правовых актов
ОФИЦИАЛЬНОЕ ОПУБЛИКОВАНИЕ
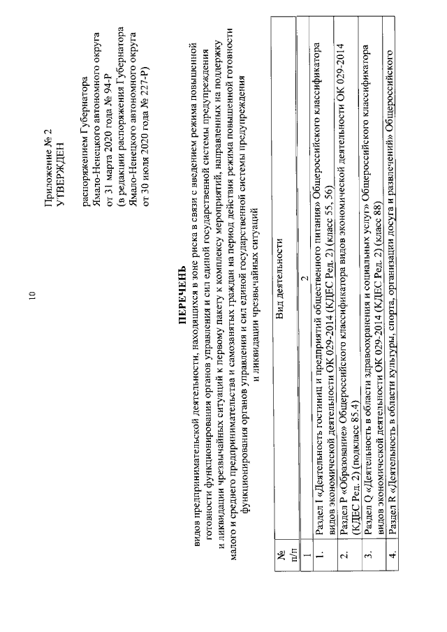
Распоряжение Губернатора Ямало-Ненецкого автономного округа от 30.07.2020 № 227-Р
"О внесении изменения в распоряжение Губернатора Ямало-Ненецкого автономного округа от 31 марта 2020 года № 94-Р"
Номер опубликования: 8900202008050004
Дата опубликования: 05.08.2020
Страница №11 из 39:
Увеличить