Официальное опубликование правовых актов
ОФИЦИАЛЬНОЕ ОПУБЛИКОВАНИЕ
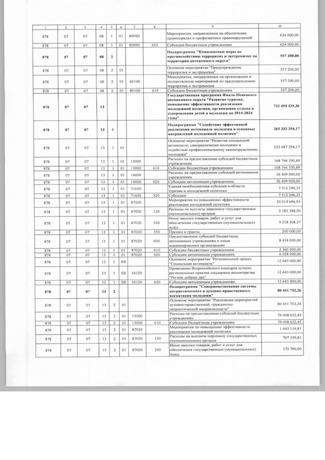
Закон Ямало-Ненецкого автономного округа от 28.05.2020 № 49-ЗАО
"Об утверждении отчета об исполнении окружного бюджета за 2019 год"
Номер опубликования: 8900202006050008
Дата опубликования: 05.06.2020
Страница №119 из 154:
Увеличить