Официальное опубликование правовых актов
ОФИЦИАЛЬНОЕ ОПУБЛИКОВАНИЕ
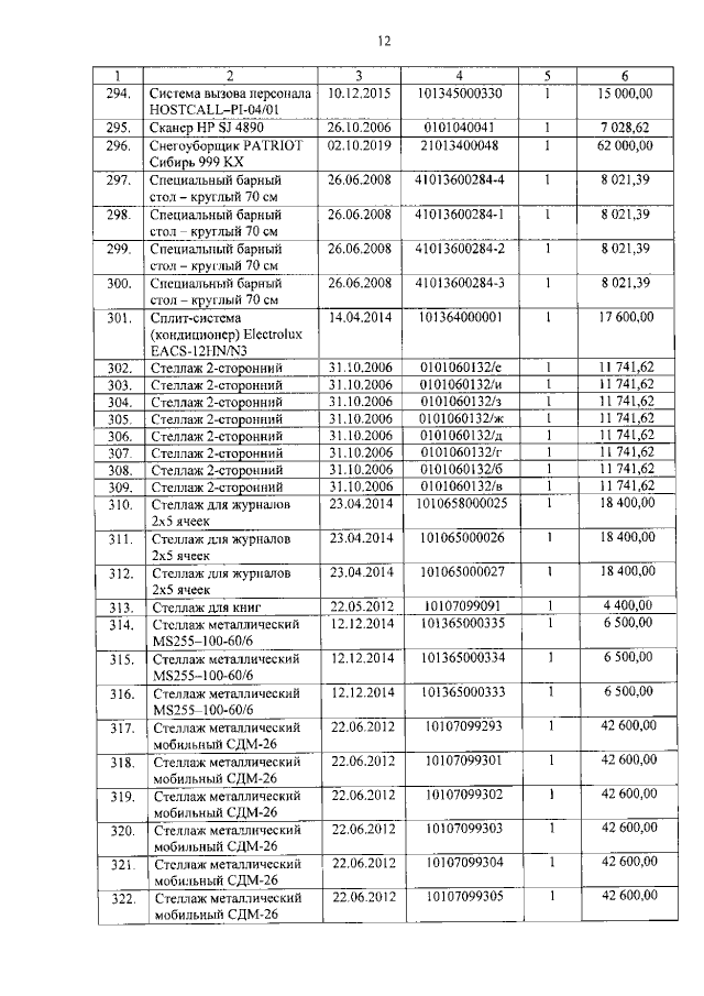
Постановление Правительства Ямало-Ненецкого автономного округа от 27.03.2020 № 344-П
"О создании автономного учреждения путем изменения типа существующего государственного бюджетного учреждения Ямало-Ненецкого автономного округа "Национальная библиотека Ямало-Ненецкого автономного округа"
Номер опубликования: 8900202004030011
Дата опубликования: 03.04.2020
Страница №19 из 27:
Увеличить