Официальное опубликование правовых актов
ОФИЦИАЛЬНОЕ ОПУБЛИКОВАНИЕ
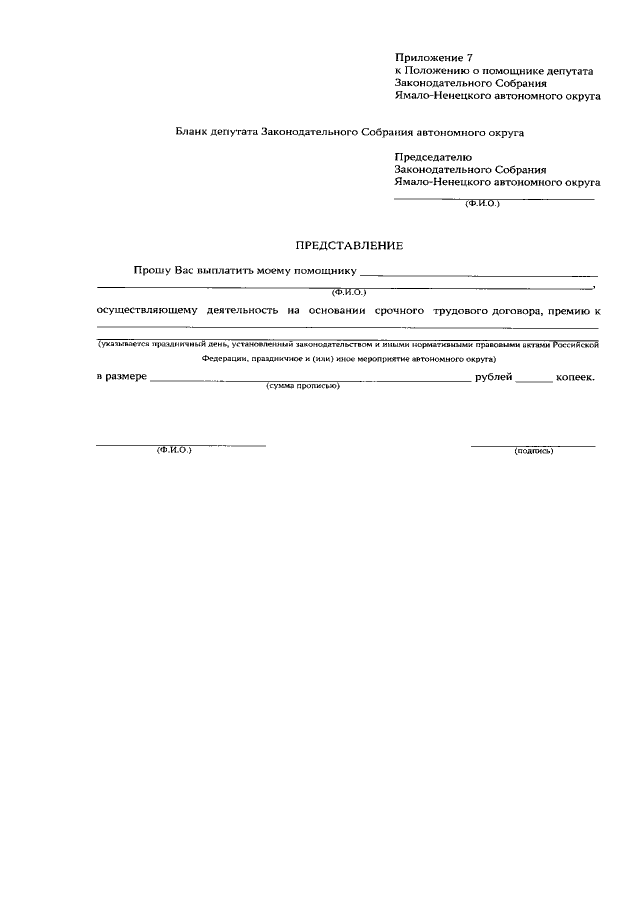
Постановление Законодательного Собрания Ямало-Ненецкого автономного округа от 19.11.2019 № 1924
"Об утверждении Положения о помощнике депутата Законодательного Собрания Ямало-Ненецкого автономного округа"
Номер опубликования: 8900201911220009
Дата опубликования: 22.11.2019
Страница №18 из 19:
Увеличить