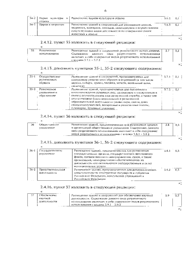
Официальное опубликование правовых актов
ОФИЦИАЛЬНОЕ ОПУБЛИКОВАНИЕ
Постановление Правительства Ямало-Ненецкого автономного округа от 17.09.2019 № 1024-П
"О внесении изменений в постановление Правительства Ямало-Ненецкого автономного округа от 08 октября 2015 года № 953-П"
Номер опубликования: 8900201909200007
Дата опубликования: 20.09.2019
Страница №7 из 215:
Увеличить