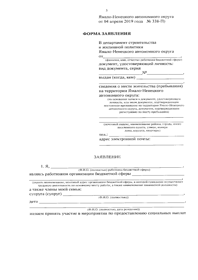
Постановление Правительства Ямало-Ненецкого автономного округа от 04.04.2019 № 338-П
"О внесении изменений в Порядок предоставления социальных выплат работникам бюджетной сферы на приобретение жилого помещения на первичном рынке"
"О внесении изменений в Порядок предоставления социальных выплат работникам бюджетной сферы на приобретение жилого помещения на первичном рынке"
Номер опубликования: 8900201904090012
Дата опубликования:
09.04.2019
