Официальное опубликование правовых актов
ОФИЦИАЛЬНОЕ ОПУБЛИКОВАНИЕ
Постановление Правительства Ямало-Ненецкого автономного округа от 06.03.2019 № 200-П
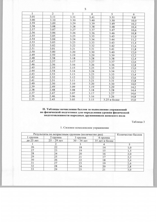
"Об окружных конкурсах на звания "Лучшая народная дружина" и "Лучший народный дружинник"
Номер опубликования: 8900201903110030
Дата опубликования: 11.03.2019
Страница №27 из 34:
Увеличить