Официальное опубликование правовых актов
ОФИЦИАЛЬНОЕ ОПУБЛИКОВАНИЕ
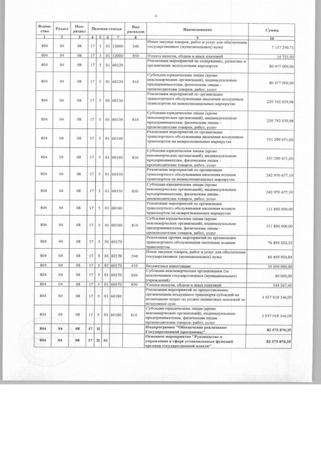
Закон Ямало-Ненецкого автономного округа от 17.05.2018 № 35-ЗАО
"Об утверждении отчета об исполнении окружного бюджета за 2017 год"
Номер опубликования: 8900201805230010
Дата опубликования: 23.05.2018
Страница №26 из 136:
Увеличить