Официальное опубликование правовых актов
ОФИЦИАЛЬНОЕ ОПУБЛИКОВАНИЕ
Постановление Правительства Ямало-Ненецкого автономного округа от 13.04.2018 № 401-П
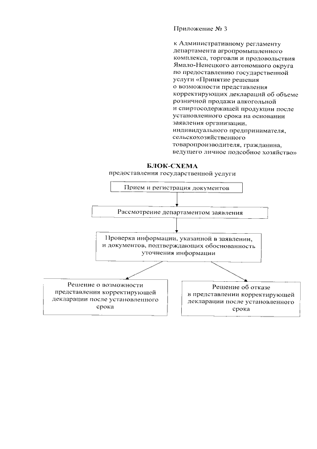
"Об утверждении Административного регламента департамента агропромышленного комплекса, торговли и продовольствия Ямало-Ненецкого автономного округа по предоставлению государственной услуги "Принятие решения о возможности представления корректирующих деклараций об объеме розничной продажи алкогольной и спиртосодержащей продукции после установленного срока на основании заявления организации, индивидуального предпринимателя, сельскохозяйственного товаропроизводителя, гражданина, ведущего личное подсобное хозяйство"
Номер опубликования: 8900201804190011
Дата опубликования: 19.04.2018
Страница №26 из 26:
Увеличить