Официальное опубликование правовых актов
ОФИЦИАЛЬНОЕ ОПУБЛИКОВАНИЕ
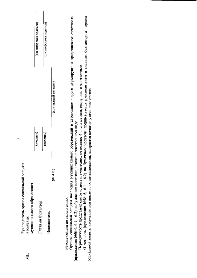
Постановление Губернатора Ямало-Ненецкого автономного округа от 20.03.2017 № 26-ПГ
"Об утверждении Порядка представления отчётности об осуществлении отдельных государственных полномочий Российской Федерации по предоставлению мер социальной поддержки отдельным категориям населения органами местного самоуправления муниципальных районов и городских округов в Ямало-Ненецком автономном округе"
Номер опубликования: 8900201703270002
Дата опубликования: 27.03.2017
Страница №39 из 41:
Увеличить