Официальное опубликование правовых актов
ОФИЦИАЛЬНОЕ ОПУБЛИКОВАНИЕ
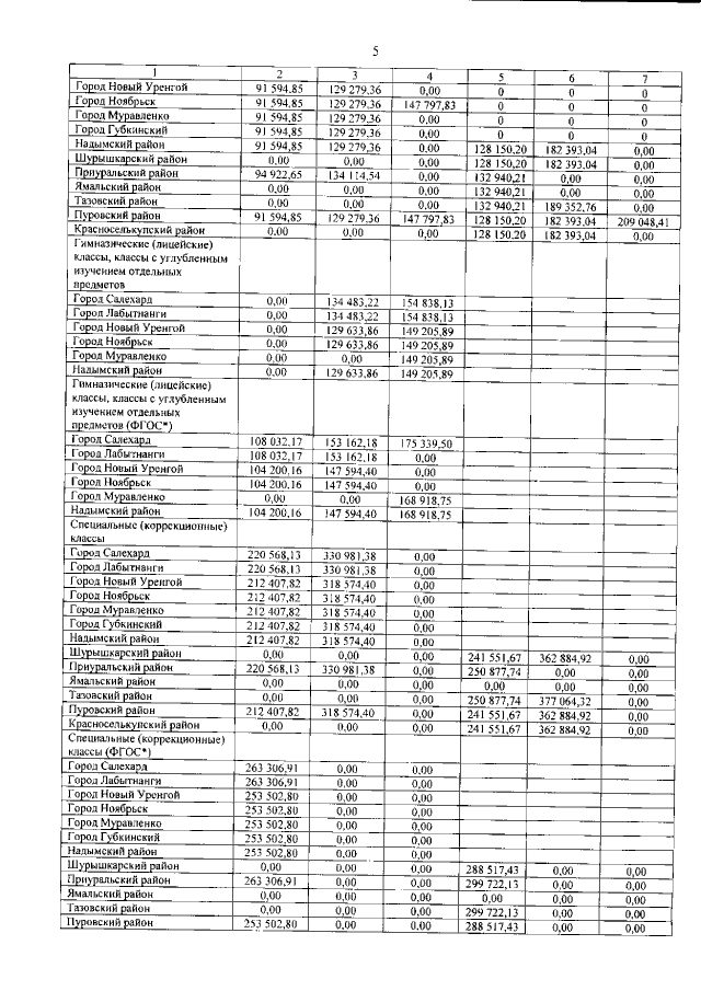
Постановление Правительства Ямало-Ненецкого автономного округа от 29.12.2016 № 1244-П
"О внесении изменений в постановление Правительства Ямало-Ненецкого автономного округа от 25 декабря 2015 года № 1299-П"
Номер опубликования: 8900201701030005
Дата опубликования: 03.01.2017
Страница №6 из 11:
Увеличить