Официальное опубликование правовых актов
ОФИЦИАЛЬНОЕ ОПУБЛИКОВАНИЕ
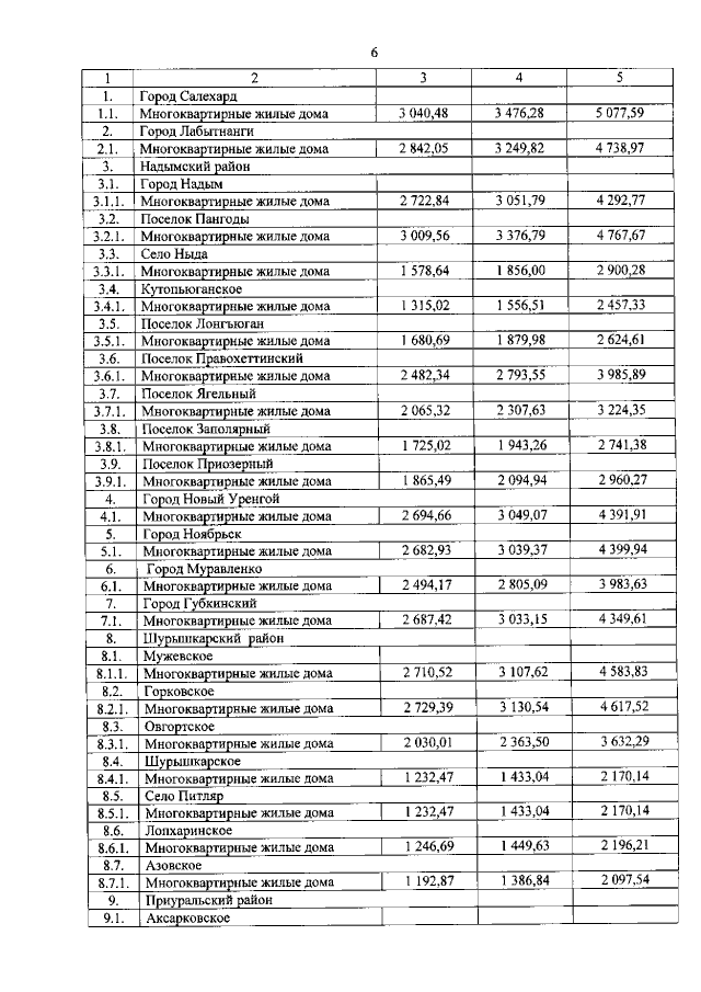
Постановление Правительства Ямало-Ненецкого автономного округа от 29.07.2016 № 730-П
"О внесении изменений в постановление Правительства Ямало-Ненецкого автономного округа от 22 декабря 2015 года № 1222-П"
Номер опубликования: 8900201608030013
Дата опубликования: 03.08.2016
Страница №7 из 9:
Увеличить