Официальное опубликование правовых актов
ОФИЦИАЛЬНОЕ ОПУБЛИКОВАНИЕ
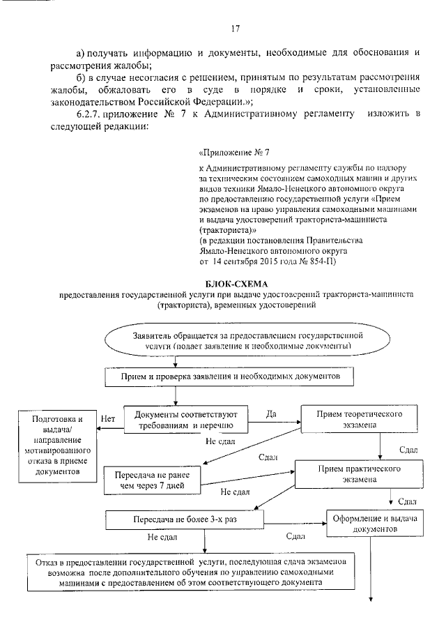
Постановление Правительства Ямало-Ненецкого автономного округа от 14.09.2015 № 854-П
"О внесении изменений в некоторые постановления Правительства Ямало-Ненецкого автономного округа"
Номер опубликования: 8900201509180020
Дата опубликования: 18.09.2015
Страница №18 из 20:
Увеличить