Официальное опубликование правовых актов
ОФИЦИАЛЬНОЕ ОПУБЛИКОВАНИЕ
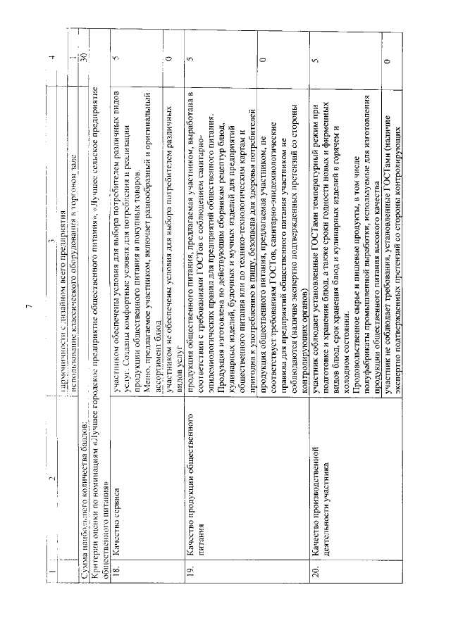
Постановление Правительства Ямало-Ненецкого автономного округа от 31.08.2015 № 818-П
"Об окружном конкурсе "Лучшее на Ямале"
Номер опубликования: 8900201509080015
Дата опубликования: 08.09.2015
Страница №35 из 62:
Увеличить