Официальное опубликование правовых актов
ОФИЦИАЛЬНОЕ ОПУБЛИКОВАНИЕ
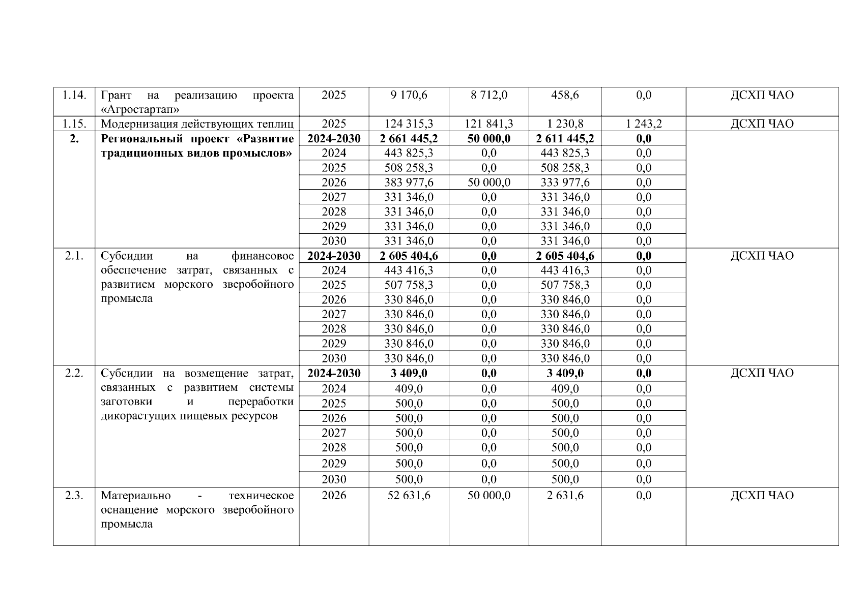
Постановление Правительства Чукотского автономного округа от 02.02.2026 № 21
"О внесении изменений в Приложение к Постановлению Правительства Чукотского автономного округа от 29 декабря 2023 года № 546"
Номер опубликования: 8700202602020002
Дата опубликования: 02.02.2026
Страница №6 из 19:
Увеличить